Profile PictureAlbers Uzila
$0+

5 Most Well-Known CNN Architectures Visualized (editable template)

Add to cart

5 Most Well-Known CNN Architectures Visualized (editable template)

$0+
2 ratings

About

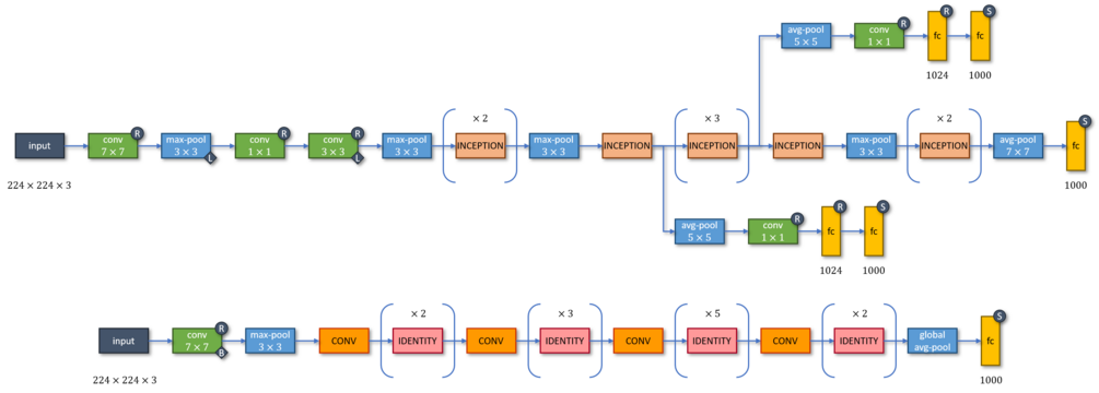
This is additional material for one of my stories on Medium: 5 Most Well-Known CNN Architectures Visualized. The story has great illustrations and all (you should check it out), but there are requests from my readers for them to also have an editable version of the CNN architectures.

What will you get?

You'll get an 8-page PPT file with the following details:

  • Page 1: cover
  • Page 2: beautiful legend, the symbol of building blocks of CNN architectures used throughout the file
  • Page 3-7: five most well-known CNN architectures visualized, read my story for more details
  • Page 8: a surprising bonus architecture

Why should you have this?

There are two main reasons why my readers want the editable version, instead of downloading the images directly from my story. You may as well have the same intentions:

  1. You want to edit existing architectures (change color and size, add additional details) and use them in your presentations, for education, or research purposes.
  2. You want to build other amazing deep learning architectures but don't want to start from scratch. Then, you could use the rich legend in the file consisting of the main building blocks of deep neural network architectures.

🔥 So, what are you waiting for? :) Get it now for FREE (or pay what you want)!


Find me elsewhere

MediumTwitterLinkedIn
$
Add to cart

You'll get an 8-page PPT file with beautiful legend and illustration of 5 CNN architectures.

You might want to edit existing architectures for your own presentations, education, or research purposes, or you might want to use our legend to build other amazing deep learning architectures but don't want to start from scratch.
Size
328 KB
Length
8 pages

Ratings

5
(2 ratings)
5 stars
100%
4 stars
0%
3 stars
0%
2 stars
0%
1 star
0%
Powered by